• 本次为您找到相关结果约 8691条,用时 0.028秒
  • 立方ZnS结构

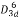
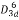
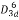
     立方ZnS结构  cubic ZnS structure  又名闪锌矿型结构。以立方ZnS为代表的一类AB型化合物晶体结构。属立方晶系,面心立方点阵,空间群为F43m。其中B原子(S)位于面心立方点阵的结点位置上,A原子(Zn)位于另一套这样的点阵位置上,两者体对角线相对位移量是1/4Zn2+S2-周围都由4个异号离子呈四面体方式配位;这种结构也可看作S2-作立方最密堆积,Zn2+填入四面体的空隙中;或者,由于Zn-S间共价键占很大成分,可将它的结构看作立方金刚石结构中的C原子,交替地由ZnS原子置换而得;这类化合物有氯化亚铜(CuCl)、溴化亚铜(CuBr)、碘化亚铜(CuI)、碘化银(AgI)、碳化硅(SiC)、氮化硼(BN)、磷化硼(BP)、硫化铍(BeS)等。其中,Ⅲ~Ⅴ族化合物、Ⅱ~Ⅵ族化合物和单质是重要的半导体材料。

    id:2147487488;FounderCES

    立方ZnS结构(浅色球代表S,深色球代表Zn)

     

  • 立体卷曲纤维

     立体卷曲纤维  见三维卷曲纤维(560)

  • 立体印刷成型

     立体印刷成型  stereo lithography  见立体光刻。

  • 沥青胶

     沥青胶  bitumen adhesive  是一种为提高沥青的耐热性、降低沥青层的低温脆性而在沥青材料中加入填料进行改性而成的,以石油沥青为基体的矿物胶黏剂,分为热熔型、溶剂型和乳液型三种。

  • 沥青铀矿

     沥青铀矿  pitchblende  参见晶质铀矿(391)

  • β-磷酸三钙生物陶瓷

     β-磷酸三钙生物陶瓷  β-tricalcium phosphate bioceramics  是由β-磷酸三钙组成的一类磷酸钙基生物陶瓷。其化学式为Ca3(PO4)2,Ca/P原子比为1.5,属于三方晶系,是典型的可吸收生物陶瓷,主要制备成致密的或多孔的粉末或块体用作可吸收生物陶瓷或与HA复合制成双相陶瓷。制备方法主要有湿法工艺、干法工艺、水热合成法、改进的湿式粉碎法、搅拌磨机械化学合成法、溶胶-凝胶法等。主要用于骨组织的修复和重建,如骨缺损腔的填充,盖髓剂、牙槽嵴增高、耳听骨置换及药物释放载体等。

  • 磷酸钛氧钾晶体

     磷酸钛氧钾晶体  KTP crystal  化学式为KTiOPO4,是一种优良的非线性晶体,非线性光学系数约为KDP晶体的15,具有大的容许温度和容许角度,激光损伤阈值较高,化学性质稳定,不潮解,机械强度适中,倍频转化效率高达70%以上等特性,是中小功率固体绿光激光器的最好倍频材料,在光学开关、光波导等方面也已获得应用。

  • 磷酸盐激光玻璃

     磷酸盐激光玻璃  phosphate laser glass  以磷酸盐玻璃为基质的激光玻璃。在硅酸盐玻璃中实现激光的激活离子都能在磷酸盐玻璃中产生激光,但成为产品的是掺Nd3+Er3+的玻璃。激活离子Nd3+Er3+在磷酸盐玻璃中具有高的受激发射截面积,能提髙增益。磷酸盐基质的非线性折射率低,能提高自聚焦临界功率。具有负的折射率温度系数,能补偿温度所产生的膨胀,达到热光稳定。实现Nd3+在磷酸盐玻璃中的激光后,针对不同使用目的,分别发展了振荡器、放大器、重复频率器件用的玻璃。掺Er3+磷酸盐玻璃输出的1.54μm激光对人眼安全,称安全激光。Er3+在可见区的吸收少,光泵利用率差。直到采用敏化发光后才形成Nd3+-Yb3+-Er3+Cr3+-Yb3+-Er3+、多重掺杂的实用铒玻璃。磷酸盐激光玻璃采用二次熔炼工艺,先在熔石英坩埚中熔化配合料,玻璃熟料在铂坩埚中再次熔化、澄清、均化、成型。除减少有害杂质含量以降低损耗外,消除玻璃中的OH-以提高荧光量子效率是制造中的关键。通过引入部分氟化物、干燥气体鼓泡、熔融玻璃表面的干燥气体保护等技术实现。掺Nd3+磷酸盐玻璃主要用于建造髙功率激光系统,也用于材料加工、医疗等中小输出重复频率激光器。输出安全激光的铒激光玻璃用于新一代测距机、战场模拟、医疗等与人眼受辐照有关的激光器。

  • 磷酸钇:镱(Ⅲ),铥(Ⅲ)

     磷酸钇:(),()  yttrium phosphate activated by ytterbium and terium  YPO4:Tb3+,Yb3+。色黄、绿、褐、赤,四方晶系,晶胞参数a=b=0.689c=0.604,相对密度 4.4~5.1。在 Tm3+1G4能级 474nm激发下,可得到Yb3+2F5/22F7/2(970~1010nm)的发射,其量子效率为172.8%。合成方法: 稀土氧化物和磷酸氢铵,在助熔剂焦磷酸钠的作用下采用高温固相的方法合成; YbxY0.99-xPO4:1%Tb3+(x=00.050.150.250.500.750.99)的比例量取Yb(NO3)3Y(NO3)3以及Tb(NO3)3溶液,用过量的草酸沉淀稀土离子,充分洗涤沉淀,干燥,空气气氛中,1050℃充分煅烧,将草酸盐转换为氧化物,将所得粉末与磷酸氢二铵混合研磨后,H2∶N2=1∶3气氛中,1350℃煅烧数小时,得粉末样品。

  • 磷钇矿

     磷钇矿  xenotime  简单岛状结构磷酸盐矿物。化学式为Y[PO4],常有镱、铒、镝稀土元素混入,锆、铀、钍等元素代替钇。四方晶系,空间群-I41/amd。晶体呈短柱状。黄色、红褐色或黄绿色。条痕淡褐色。玻璃光泽。解理{100}中等。莫氏硬度4.5,密度4.4~5.1g/cm3。常具有放射性。主要产于花岗岩、花岗伟晶岩、碱性花岗岩中,与锆石、独居石、电气石、褐帘石等共生;化学性质稳定,也产于砂矿中。是提取钇的重要矿物原料。

  • 玲珑珐琅

     玲珑珐琅  dainty enamel  又称透光珐琅、透底珐琅。利用无色或彩色透光瓷釉进行彩饰,透过瓷釉可隐约看见光亮的纹样。制作方法是在金属坯胎上雕成各种空洞花纹,垫上云母片或铜片,填入瓷釉灼烧直至完全填满,将垫片除去,然后磨平抛光使空洞处显出光亮的瓷釉。

  • 菱镁矿

     菱镁矿  magnesite  简单岛状结构碳酸盐矿物。化学式为Mg[CO3],常有铁替代镁,形成铁菱镁矿、菱铁镁矿等异种。三方晶系,空间群-R3c。方解石型结构。完好晶形少见,常呈粒状或致密块状集合体。白色或浅黄白色,含铁者染成褐红色。玻璃光泽。解理{1011}完全。性脆,莫氏硬度3.5~4.5,密度2.9~3.1g/cm3,不溶于冷盐酸,溶于热酸中。主要由含镁热水溶液交代白云岩或白云质灰岩及富镁岩石而成,常与方解石、白云石、绿泥石、滑石等共生。中国辽宁大石桥菱镁矿是世界著名的大型矿床。主要用于制取碱性耐火砖、炼钢炉衬、水泥和保温、隔热等建筑材料;亦是提取镁、制取硫酸镁及其他镁化合物的矿物原料。

  • 菱铁矿

     菱铁矿  siderite  简单岛状结构碳酸盐矿物。化学式为Fe[CO3],常有镁、锰、钙代替铁,形成镁菱铁矿、锰菱铁矿、钙菱铁矿等变种。三方晶系,空间群-R3c。方解石型结构 。晶体呈菱面体状、短柱状;有时依{0112}成聚片双晶;集合体呈粒状、致密块状或土状;在沉积物中呈结核状、凝胶状。新鲜者浅灰白色,风化后呈褐色、黑色。玻璃光泽,透明至半透明。解理{1011}完全。莫氏硬度4,密度3.7~4.0g/cm3。在冷盐酸中作用缓慢,在热盐酸中加剧,生成黄绿色FeCl2。在阴极射线下呈橘红色。主要在热液和沉积条件下形成,热液成因者呈脉状,与铁白云石、方铅矿、闪锌矿等硫化物共生;沉积成因者呈层状,产于黏土岩、页岩或煤层里。大量聚集时,可作提取铁的矿物原料。

  • 菱锌矿

     菱锌矿  smithsonite  简单岛状结构碳酸盐矿物。化学式为Zn[CO3],常含有FeMnMgCa等混入物,形成铁菱锌矿、锰菱锌矿、镁菱锌矿、钙菱锌矿等变种。三方晶系,空间群-R3c。方解石型结构。完好晶形少见,多呈肾状、葡萄状、钟乳状等。纯者白色,常染成浅灰、浅绿、浅褐红色等。玻璃光泽,透明至半透明。解理{1011}完全。莫氏硬度4.25~5.0,密度4.0~4.5g/cm3。与盐酸作用起泡。常见于铅锌矿床氧化带,系闪锌矿转化的产物,与针铁矿等共生。是提取锌的矿物原料。

  • 零膨胀微晶玻璃

     零膨胀微晶玻璃  zero thermal expansion glass-ceramics  一种具有近乎于零的热膨胀系数以及出色的三维的均匀度的微晶玻璃。通过在玻璃中析出负膨胀的微晶体与基础玻璃的膨胀相抵消,使微晶玻璃的热膨胀系数接近于零。